Atletico Madrid

Y Bus Admittance Matrix Solved Problems


Given The Impedance Diagram Of A Simple System As Shown In Figure
www.bartleby.com

Https Encrypted Tbn0 Gstatic Com Images Q Tbn 3aand9gcrhdcviahix0uuouqg5prfuemvgnr63hekmb 7p6hrn0zj7f0af Usqp Cau
encrypted-tbn0.gstatic.com

Solved The Bus Admittance Matrix For The Power System Shown In
www.transtutors.com

Solved Problem 2 Determine The Admittance Matrix Ybus Fo
www.chegg.com

Bus Admittance Matrix Ybus Part 2 Power Systems For Gate Ese
unacademy.com

Power System Analysis Ybus Matrix Electrical Engineering Stack
electronics.stackexchange.com

Admittance Matrix Example
win.liceopatti.it

Bus Admittance Matrix Part 04 Formation Of Y Bus Two
www.youtube.com

Y Bus Load Flow Bus Admittance Matrix Step By Step Formation
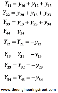
www.theengineeringstreet.com

Y Bus Load Flow Bus Admittance Matrix Step By Step Formation
www.theengineeringstreet.com

Solved 4 Determine The Bus Admittance Matrix Ybus For
www.chegg.com

Https D13mk4zmvuctmz Cloudfront Net Assets Main Study Material Notes Electrical Engineering Engineering Computer Techniques In Power System Analysis Load Flow Studies Notes Pdf

The Ybus Admittance Matrix For Solving Power Flow Equations Part 3
generalpac.com

The Ybus Admittance Matrix For Solving Power Flow Equations Part 1
generalpac.com

Ece 376 Ybus Assignment Name
studylib.net

Bus Bus 2 Line 1 Line 2 Line 3 Line 4 Bus 3 Bus 4 4x4 Bus
www.homeworklib.com

Power Flow Analysis Intechopen
www.intechopen.com

How To Model Bus Admittance Matrix Y Bus Of A Given Power System
realengineer.com

Solved The Bus Admittance Matrix For The Power System Shown In
www.transtutors.com

Http Publish Illinois Edu Ece 476 Fall 2017 Files 2017 10 Hw6sol Pdf

Activity 1 Admittance Matrix Formulation Lab Matrix Mathematics
www.scribd.com

Step By Step Formation Of Bus Admittance Matrix Circuit Globe
circuitglobe.com

Bus Admittance Matrix Part 06 Y Bus Formation One Problem
www.youtube.com

Bus Admittance Matrix
www.slideshare.net

Https Mrcet Com Downloads Digital Notes Eee Power 20system 20analysis 20notes Pdf

Pdf Formation Of Bus Admittance Matrix Using Matlab Software
www.academia.edu

Solved 1 Formulate The Y Bus Admittance Matrix For The S
www.chegg.com

The Ybus Admittance Matrix For Solving Power Flow Equations Part 1
generalpac.com

Load Flow Studies
www.slideshare.net

Y Bus Load Flow Bus Admittance Matrix Step By Step Formation
www.theengineeringstreet.com

Http Publish Illinois Edu Ece 476 Fall 2017 Files 2017 10 Hw6sol Pdf

Formation Of Y Bus Z Bus
www.brainkart.com

Pin On The Engineering Street
www.pinterest.com

Http Ocw Ump Edu My Mod Resource View Php Id 220

Power Flow Analysis Pdf Document
documents.pub

Admittance Matrix An Overview Sciencedirect Topics
www.sciencedirect.com

Solved 5 1 In Example 5 1 Include The Line Susceptances
www.chegg.com

Ece 476 Power System Analysis Lecture 11 Ybus Power Flow Prof
slideplayer.com

Http Www Ee Unlv Edu Eebag Power 20system 20representations 20 20power 20flow Pdf

Exp 3 1 3 To Formulate Ybus Matrix By Singular Transformation
www.slideshare.net

Bus Admittance Matrix Part 05 Formation Of Bus Matrix Two
www.youtube.com

Solved Problem 6 30 Determine The Bus Admittance Matrix
www.chegg.com

What Is Bus Admittance Matrix Circuit Globe
circuitglobe.com

Bus Admittance Matrix And Input Data For The Power System Of
www.researchgate.net

Consider The Following Power System Consisting Of Three Buses All
www.homeworklib.com

Pdf A New Method For Power Loss Allocation By Modified Y Bus Matrix
www.researchgate.net

Y Bus Load Flow Bus Admittance Matrix Step By Step Formation
www.theengineeringstreet.com

Pin On Projects To Try
www.pinterest.com

Bus Admittance Matrix Ybus Part 1 Power Systems For Gate Ese
unacademy.com

The Ybus Admittance Matrix For Solving Power Flow Equations Part 3
generalpac.com

What Is Bus Admittance Matrix Circuit Globe
circuitglobe.com

Uetian Blogger Ybus Building Algorithm Of Power System Using Matlab
uetianblogger.blogspot.com

Chapter 6 Power Flow Analysis 6 1 Introduction Manualzz
manualzz.com

Solved Objectives To Build The Bus Admittance Matrix Ybus
www.chegg.com

Lecture 10
www.slideshare.net

Pin On The Engineering Street
www.pinterest.com

Bus Admittance Matrix Part 03 Formation Of Y Bus Two
www.youtube.com

Power Flow Analysis Intechopen
www.intechopen.com

Https Www Iare Ac In Sites Default Files Lecture Notes Iare Cmps Lecture Notes Pdf

How To Model Bus Admittance Matrix Y Bus Of A Given Power System
realengineer.com

Https Www Bharathuniv Ac In Colleges1 Downloads Courseware Eee Notes Sem7 Sem 20vii 20bee701 20power 20system 20analysis Pdf

Admittance Matrix Example
win.liceopatti.it

Solved Determine The Bus Admittance Matrix Y Bus For Th
www.chegg.com

What Is Bus Admittance Matrix Circuit Globe
circuitglobe.com

Https Encrypted Tbn0 Gstatic Com Images Q Tbn 3aand9gcrx7cqrcngi5pyjy2ihotl18iutm0ur7zijr2r0jjp 7f Pjgt Usqp Cau
encrypted-tbn0.gstatic.com

Nr 320203 Modeling Of Power System Components Matrix
www.scribd.com

Bus Admittance Matrix And Input Data For The Power System Of
www.researchgate.net

The Ybus Admittance Matrix For Solving Power Flow Equations Part 2
generalpac.com

Solved 5 1 In Example 5 1 Include The Line Susceptances
www.chegg.com

Uetian Blogger Ybus Building Algorithm Of Power System Using Matlab
uetianblogger.blogspot.com

Bus Admittance Matrix Part 02 Formation Of Y Bus And Two
www.youtube.com

Ppt Ece 530 Analysis Techniques For Large Scale Electrical
www.slideserve.com

Admittance Matrix Example
win.liceopatti.it

Determine The 4 4 Bus Admittance Matrix Y Bus And Write Nodal
www.bartleby.com

Admittance Matrix Example
win.liceopatti.it

Admittance Matrix An Overview Sciencedirect Topics
www.sciencedirect.com

Bus Admittance Matrix Part 01 Formation Of Y Bus
www.youtube.com

Http Ocw Ump Edu My Mod Resource View Php Id 220

Nodal Admittance Matrix Wikipedia
en.wikipedia.org

Determine The Bus Admittance Matrix Y Bus For The Three Phase
www.bartleby.com

Solved Determine The Bus Admittance Matrix Ybus For The T
www.chegg.com

Pin On The Engineering Street
www.pinterest.com

Ece 476 Power System Analysis Lecture 11 Ybus Power Flow Prof
slideplayer.com

Bus Admittance Matrix Part 14 Adding Off Nominal Tap
www.youtube.com

Http Ocw Ump Edu My Mod Resource View Php Id 220

Solved Problems In Example 5 1 Include The Line Suscepta
www.chegg.com

Power Flow Analysis Intechopen
www.intechopen.com

What Is Y Bus And Z Bus In Power System Quora
www.quora.com

Power Flow Analysis
www.yumpu.com

A Five Bus System Is Shown In Fig 2 Its Admittan Chegg Com
www.chegg.com

Y Bus Load Flow Bus Admittance Matrix Step By Step Formation
www.theengineeringstreet.com

Bus Admittance Matrix Part 10 Formation Y Bus One Problem
www.youtube.com

The Ybus Admittance Matrix For Solving Power Flow Equations Part 1
generalpac.com

Power Flow Analysis Pdf Document
documents.pub

Lecture For Gate In Electrical Engineering Y Bus Admittance Matrix
www.youtube.com

Nodal Admittance Matrix Wikipedia
en.wikipedia.org

Formation Of Y Bus Z Bus
www.brainkart.com

Solved A Power System Network Is Shown In Figure 6 18 Th
www.chegg.com

Load Flow And Y Bus Electrical4u
www.electrical4u.com

Bus Admittance Matrix Part 01 Formation Of Y Bus
www.youtube.com

Solved Problem 1 50 Points In The Below Single Line Di
www.chegg.com

Exp 3 1 3 To Formulate Ybus Matrix By Singular Transformation
www.slideshare.net

close