Atletico Madrid

Matrix Formulation Of Linear Regression


How Do You Calculate R Squared In Excel
www.investopedia.com

5 5 Deviance Notes For Predictive Modeling
bookdown.org

Linear Regression Maximum Likelihood Estimation
www.statlect.com

Multicollinearity Definition Causes Examples Statistics How To
www.statisticshowto.com

Logistic Regression
saedsayad.com

Regression Or Classification Linear Or Logistic By Taylor
towardsdatascience.com

Introduction To Bayesian Linear Regression By Will Koehrsen
towardsdatascience.com

Chapter 15 Linear Regression Learning Statistics With R A
learningstatisticswithr.com

Linear Regression With Multiple Variables Machine Learning Deep
www.ritchieng.com

Agr206s00 L03
psfaculty.plantsciences.ucdavis.edu

Multiple Linear Regression Analysis An Overview Sciencedirect
www.sciencedirect.com

Ml Normal Equation In Linear Regression Geeksforgeeks
www.geeksforgeeks.org

Machine Learning Linear Regression And Gradient Descent Part 1
www.crayondata.com

Linear Regression With Multiple Variables Machine Learning Deep
www.ritchieng.com

2

Linear Regression Simple Steps Video Find Equation Coefficient
www.statisticshowto.com

Solved 3 Consider The Simple Linear Regression Model Y
www.chegg.com

Multiple Linear Regression Matrix Formulation Let X X 1 X 2
slideplayer.com

Linear Regression Wikipedia
en.wikipedia.org

How To Derive Variance Covariance Matrix Of Coefficients In Linear
stats.stackexchange.com

Can You Make Matlab Solve It 2 An Investigator Has Reported The
www.homeworklib.com

Solved 1 Consider The Usual Multiple Linear Regression S
www.chegg.com

Least Squares Fitting From Wolfram Mathworld
mathworld.wolfram.com

Http Www Stat Columbia Edu Fwood Teaching W4315 Fall2009 Lecture 11

Design Matrix Wikipedia
en.wikipedia.org

Pdf Matrix Formulation For Linear And First Order Nonlinear
www.academia.edu

Ml R Squared In Regression Analysis Geeksforgeeks
www.geeksforgeeks.org

Multivariable Regression Approach For Porosity Determination In
www.ndt.net

Spss Multiple Regression Analysis In 6 Simple Steps
www.spss-tutorials.com

2

Figure 3 From Orthogonal Linear Regression Algorithm Based On
www.semanticscholar.org

Practical Guide To Logistic Regression Analysis In R Tutorials
www.hackerearth.com

Linearity Of Calibration Curves For Analytical Methods A Review
www.intechopen.com

Notes On Multiple Regression Using Matrices Multiple Regression
slideplayer.com

Multiple Regression Analysis Excel Real Statistics Using Excel
www.real-statistics.com

Perform Linear Regression Using Matrices Youtube
www.youtube.com

3
encrypted-tbn0.gstatic.com

Computer Lab 3 Multiple Regression Standard Analyses
studylib.net

1 Consider The Usual Multiple Linear Regression S Chegg Com
www.chegg.com

11 3 Neural Network Models Forecasting Principles And Practice
otexts.com

Https Encrypted Tbn0 Gstatic Com Images Q Tbn 3aand9gcqwb8vxykizndt3rttt6gelkzaucqxb850bgbjwcwnhqot I5mb Usqp Cau
encrypted-tbn0.gstatic.com

Linear Regression Ml Glossary Documentation
ml-cheatsheet.readthedocs.io

Linear Regression In Python Real Python
realpython.com

2

5 4 A Matrix Formulation Of The Multiple Regression Model Stat 462
online.stat.psu.edu

Ppt Multiple Linear Regression Matrix Formulation Powerpoint
www.powershow.com

Http Mezeylab Cb Bscb Cornell Edu Labmembers Documents Supplement 205 20 20multiple 20regression Pdf

Properties Of The Hat Matrix With Proofs Youtube
www.youtube.com

4 Regression And Prediction Practical Statistics For Data
www.oreilly.com

Linear Regression For Machine Learning
machinelearningmastery.com

Regression With Two Independent Variables
faculty.cas.usf.edu

Pdf Weighted Low Rank Approximation And Reduced Rank Linear
www.researchgate.net

How To Solve Linear Regression Using Linear Algebra
machinelearningmastery.com

Http Www Mast Queensu Ca Blevit Stat361 Hm361 17 06 Sol Pdf

Correlation And Regression With R
sphweb.bumc.bu.edu

Zaagfog9vcb Om

Selection Criteria For Linear Regression Models To Estimate
link.springer.com

Multiple Linear Regression Example Solver
www.solver.com

Http Www Few Vu Nl Wvanwie Courses Highdimensionaldataanalysis Wnvanwieringen Hdda Lecture234 Ridgeregression 20182019 Pdf

Polynomial Regression Wikipedia
en.wikipedia.org

Http Www Stat Columbia Edu Fwood Teaching W4315 Fall2009 Lecture 11

5 4 A Matrix Formulation Of The Multiple Regression Model Stat 462
online.stat.psu.edu

The Linear Algebra View Of Least Squares Regression By Andrew
medium.com

The Linear Algebra View Of Least Squares Regression By Andrew
medium.com

Perform Linear Regression Using Matrices Youtube
www.youtube.com

Bayes Regression How Is It Done In Comparison To Standard
stats.stackexchange.com

Https Www Ufpe Br Fontana Papers Webpapers Paper01fontana2014 Pdf

Http Www Stat Columbia Edu Fwood Teaching W4315 Fall2009 Lecture 11

Everything You Did And Didn T Know About Pca Its Neuronal
alexhwilliams.info

2

Implementation Of Linear Regression And Logistic Regression On Spark
www.slideshare.net

Regression With Two Independent Variables
faculty.cas.usf.edu

Linear Regression With Multiple Variables Machine Learning Deep
www.ritchieng.com

Brief Version Of The Case Study
www.yumpu.com

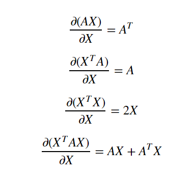
Rohan 3 Deriving The Normal Equation Using Matrix Calculus By
ayearofai.com

Spss Multiple Regression Analysis In 6 Simple Steps
www.spss-tutorials.com

Everything You Did And Didn T Know About Pca Its Neuronal
alexhwilliams.info

Https Www Amstat Org Asa Files Pdfs Ddmseries Advancedmodelingandmatrices Teachersedition Pdf

Https Www Amstat Org Asa Files Pdfs Ddmseries Advancedmodelingandmatrices Teachersedition Pdf

Multiple Regression Formula Calculation Of Multiple Regression
www.wallstreetmojo.com

The Flare Package For High Dimensional Linear Regression And
deepai.org

5 4 A Matrix Formulation Of The Multiple Regression Model Stat 462
online.stat.psu.edu

Pdf Orthogonal Linear Regression Algorithm Based On Augmented
www.semanticscholar.org

Solved 1 Consider The Matrix Formulation Of The Simple L
www.chegg.com

Design Matrix Wikipedia
en.wikipedia.org

Multiple Linear Regression Analysis Reliawiki
reliawiki.org

Https Encrypted Tbn0 Gstatic Com Images Q Tbn 3aand9gcr98wjhx3qrvklncos6pcn5ji23wrwpbdrga9kukvkfqp8 Povf Usqp Cau
encrypted-tbn0.gstatic.com

An Introduction To Ridge Lasso And Elastic Net Regression
hackernoon.com

Multiple Linear Regression Analysis Reliawiki
reliawiki.org

Pdf Orthogonal Linear Regression Algorithm Based On Augmented
www.semanticscholar.org

Regression With Two Independent Variables
faculty.cas.usf.edu

Analytical Solution Of Linear Regression By Yang Liu Towards
towardsdatascience.com

Polynomial Regression Polynomial Regression Formula Tutorial
mindmajix.com

Logistic Regression R Introduction To Logistic Regression
www.analyticsvidhya.com

Regression In Matrix Notation
studylib.net

Linear Regression Maximum Likelihood Estimation
www.statlect.com

Https Encrypted Tbn0 Gstatic Com Images Q Tbn 3aand9gcsu0evok0slxg Ebwn R16vdbbo7pwg St2fb3cu8o8wzfous 4 Usqp Cau
encrypted-tbn0.gstatic.com

Http Www Ams Sunysb Edu Zhu Ams571 Regression Pdf

Chapter 15 Linear Regression Learning Statistics With R A
learningstatisticswithr.com

Practical Guide To Logistic Regression Analysis In R Tutorials
www.hackerearth.com

Linear Regression Maximum Likelihood Estimation
www.statlect.com

3 1 Least Squares In Matrix Form Pdf Free Download
docplayer.net

Multiple Linear Regression Matrix Formulation Let X X 1 X 2
slideplayer.com

Chapter 15 Linear Regression Learning Statistics With R A
learningstatisticswithr.com

close